Sinusoidal equations

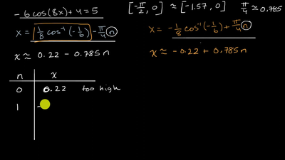
Learn how to solve equations of the form sin(x)=d or cos(x)=d where d is any number. For example, solve sin(x)=0.6.