Khan Academy (English - US curriculum)
Math
Statistics & probability
Sampling distributions
Sampling distribution of a sample proportion
Sampling distribution of a sample proportion
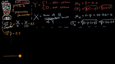
Learn how to find the mean and variance of the sampling distribution of a sample proportion.
Sampling distribution of sample proportion part 1
Sampling distribution of sample proportion part 2
Normal conditions for sampling distributions of sample proportions
The normal condition for sample proportions
Mean and standard deviation of sample proportions
Probability of sample proportions example
Finding probabilities with sample proportions