Khan Academy (English - US curriculum)
Math
AP®︎ Calculus AB
Applications of integration
Finding the average value of a function on an interval
Finding the average value of a function on an interval
Average value over a closed interval
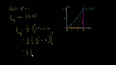
Calculating average value of function over interval
Average value of a function
Mean value theorem for integrals