Khan Academy (English - US curriculum)
Math
AP®︎ Calculus AB
Differentiation: composite, implicit, and inverse functions
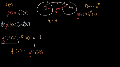
Differentiating inverse functions
Differentiating inverse functions
Derivatives of inverse functions
Derivatives of inverse functions: from equation
Derivatives of inverse functions: from table
Derivatives of inverse functions