Khan Academy (English - US curriculum)
Math
Get ready for APĀ® Calculus
Get ready for differentiation: composite, implicit, and inverse functions
Composing functions
Composing functions
Intro to composing functions
Evaluating composite functions
Evaluate composite functions
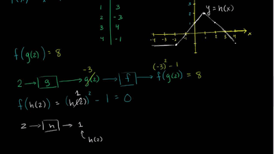
Evaluating composite functions: using tables
Evaluating composite functions: using graphs
Evaluate composite functions: graphs & tables
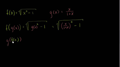
Finding composite functions
Find composite functions
Evaluating composite functions (advanced)