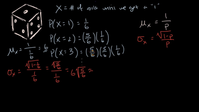
The geometric distribution

Geometric variables are similar but different from binomial variables. The key difference is that with a geometric variable, we count the number of trials it takes to get our first success. For example, how many attempts will it take me to make my first free-throw? Learn to calculate probabilities and the mean (expected value) for these variables.