Khan Academy (English - US curriculum)
Math
AP®︎ Calculus AB
Differentiation: definition and basic derivative rules
Derivative rules: constant, sum, difference, and constant multiple: introduction
Derivative rules: constant, sum, difference, and constant multiple: introduction
Basic derivative rules
Basic derivative rules: find the error
Basic derivative rules: find the error
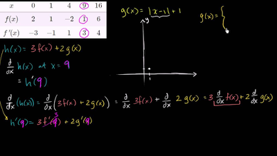
Basic derivative rules: table
Basic derivative rules: table