Khan Academy (English - US curriculum)
Math by grade
High school
Precalculus
Limits and continuity
Determining limits using algebraic properties of limits: limit properties
Determining limits using algebraic properties of limits: limit properties
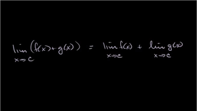
Limit properties
Limits of combined functions
Limits of combined functions: piecewise functions
Limits of combined functions: sums and differences
Limits of combined functions: products and quotients
Theorem for limits of composite functions
Theorem for limits of composite functions: when conditions aren't met
Limits of composite functions: internal limit doesn't exist
Limits of composite functions: external limit doesn't exist
Limits of composite functions