Khan Academy (English - US curriculum)
Math
Get ready for APĀ® Calculus
Get ready for differentiation: definition and basic derivative rules
Writing slope-intercept equations
Writing slope-intercept equations
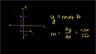
Slope-intercept equation from graph
Slope-intercept equation from slope & point
Slope-intercept equation from two points
Slope-intercept from two points