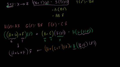
Transformations and matrix multiplication

You probably remember how to multiply matrices from high school, but didn't know why or what it represented. This tutorial will address this. You'll see that multiplying two matrices can be view as the composition of linear transformations.